CHAPTER 10 - CURRENT METERS

16. Simpson's Parabolic Rule

In this method, Simpson's parabolic rule is used twice to compute discharge using the area velocity method. First, the area is computed for three consecutive depths at velocity measuring stations using Simpson's rule. Second, average velocity for the same three verticals is computed by the rule. The discharge between the three verticals is the product of the average velocity and area. Using Simpson's rule assumes both the vertical depths and their corresponding average velocity vary parabolically (figure 10-16b). Natural riverbeds and older earth-lined canal bottoms follow curved shapes rather than the typical straight line geometry of hard-lined canal designs. Both vertical and horizontal velocity profiles tend to be parabolic in either case. Using Simpson's rule to obtain the area between three equally spaced consecutive verticals or two consecutive partial areas results in:

equation

where deltais the distance between consecutive vertical velocity measuring stations which are equally spaced across the flow section.

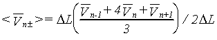
Using Simpson's rule to obtain the mean velocity of three consecutive verticals or over two consecutive partial areas is expressed as:

equation

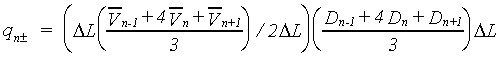
The product of this velocity and the area from the previous equation results in the relationship for the discharge through the two consecutive partial areas, written as:

equation

Typical discharge computations obtained by the midsection method, equation 10-5, are illustrated on figure 10-17. Velocities were taken from the current-meter rating table on figure 10-8.

figure
Figure 10-17 -- Typical current-meter notes and computations for the midsection method using equation 10-5 (sheet 1 of 3).

figure
Figure 10-17 -- Typical current-meter notes and computations for the midsection method using equation 10-5 (sheet 2 of 3).

figure
Figure 10-17 -- Typical current-meter notes and computations for the midsection method using equation 10-5 (sheet 3 of 3).

Simpson's parabolic rule method is particularly applicable to river channels and old canals that have cross sections conforming in a general way to the arc of a parabola or to a series of arcs of different parabolas. Simpson's method requires equally spaced verticals. The simple average and the midsection methods do not require equally spaced verticals. Thus, these two methods are well suited to computing discharges in canals that conform closely to their original trapezoidal rectangular shapes.