CHAPTER 10 - CURRENT METERS
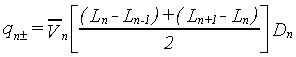
In the midsection method, the depth and mean velocity are measured for each of a number of verticals along the cross section. The depth at a vertical is multiplied by the width, which extends halfway to the preceding vertical and halfway to the following vertical, to develop a cross-sectional area. The product of this area and the mean velocity at the vertical gives the discharge for the partial section between the two halfway points. A summation of the partial discharges gives the total discharge. The formula for computing the partial discharge using the midsection method is:
(10-6)
The value, n, with plus and minus after it denotes that the partial discharge, q, is for the area between halfway back toward the previous vertical measurement and halfway toward the next forward vertical.
The mean velocities are determined by any one of the methods listed in section 12. For these two methods, the verticals do not need to be equally spaced, but the verticals should be chosen such that:
(1) The error of computing the area between the verticals does not exceed 3 percent when the bed is treated as straight lines between the verticals.
(2) Except at the banks, the difference between the mean velocities at the verticals does not exceed 20 percent relative to the lower velocity of a pair of verticals.