CHAPTER 2 - BASIC CONCEPTS RELATED TO FLOWING WATER AND MEASUREMENT

12. Froude Number, Critical Flow Relationships

In open channel hydraulics, the Froude number is a very important nondimensional parameter. The Froude number, eqn, is the ratio of inertia force to gravity force, which simplifies to:

eqn (2-25)

where the subscript m denotes hydraulic mean depth as defined previously in section 11 of this chapter.

For open channel modeling, the Froude number of a model is made equal to the Froude number of the actual full size device. The length ratio is set and the scale ratios for velocity and discharge are determined from the equality. However, the modeler must make sure that differences in friction loss between the model and the actual device are insignificant or accounted for in some way.

Open channel flow water measurement generally requires that the Froude number, Fr, of the approach flow be less than 0.5 to prevent wave action that would hinder or possibly prevent an accurate head reading.

When the Froude number is 1, the velocity is equal to the velocity of wave propagation, or celerity. When this condition is attained, downstream wave or pressure disturbances cannot travel upstream. A Froude number of 1 also defines a very special hydraulic condition. This flow condition is called critical and defines the critical mean depth and critical velocity relationship as:

eqn (2-26)

The subscript c denotes critical flow condition. The critical hydraulic mean depth, hcm, is the depth at which total specific energy is minimum for a given discharge. Conversely, hcm is the depth at which the discharge is maximum for a given total specific energy. When depth is greater than critical, the resulting velocity is considered streaming or tranquil and is called subcritical velocity. Conversely, when the depth is less than critical, the flow is rapid or shooting and is called super-critical velocity.

Water measurement flumes function best by forcing flow to pass through critical depth; then discharge can be measured using one head measurement station upstream. Also, for weirs and flumes, one unique head value exists for each discharge, simplifying calibration. This flow condition is called free flow. However, if the downstream depth submerges critical depth, then separate calibrations at many levels of submergence are required, and two head measurements are needed to measure flow.

Designing flumes for submerged flow will always decrease accuracy of flow measurement. Flumes and weirs can be submerged unintentionally by poor design, construction errors, structural settling, attempts to supply increased delivery needs by increasing downstream heads, accumulated sediment deposits, or weed growths.

Important critical flow relationships can be derived using equa- tion 2­26 and rewriting in the form:

eqn (2-27)

Solving for head in equation 2-27 results in:

eqn (2-28)

Dividing both sides of this equation by 2 gives critical velocity head in terms of critical mean depth written as:

eqn (2-29)

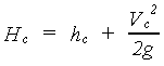
The total energy head with Z equal to zero for critical flow using equation 2-19 is:

eqn (2-30)

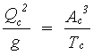
Squaring both sides of equation 2-27 and replacing velocity with Q/A and hcm with A/T according to equation 2-24 and rearranging results in:

eqn (2-31)

This equation and the specific energy equation 2-22 are the basic critical flow relationships for any channel shape.