CHAPTER 2 - BASIC CONCEPTS RELATED TO FLOWING WATER AND MEASUREMENT

10. Energy Balance Flow Relationships

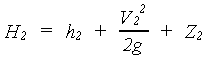
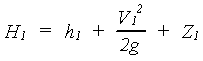
Hydraulic problems concerning fluid flow are generally handled by accounting in terms of energy per pound of flowing water. Energy measured in this form has units of feet of water. The total amount of energy is that caused by motion, or velocity head, V2/2g, which has units of feet, plus the potential energy head, Z, in feet, caused by elevation referenced to an arbitrary datum selected as reference zero elevation, plus the pressure energy head, h, in feet. The head, h, is depth of flow for the open channel flow case and p/figure defined by equation 2-2 for the closed conduit case. This summation of energy is shown for three cases on figure 2-3.

figure
Figure 2-3a -- Energy balance in pipe flow.

figure
Figure 2-3b -- Energy balance in open channel flow.

figure
Figure 2-3c -- Specific energy balance.

Figures 2-3a and 2-3b show the total energy head, H1; for example, at point 1, in a pipe and an open channel, which can be written as:

eqn (2-19)

At another downstream location, point 2:

eqn (2-20)

Energy has been lost because of friction between points 1 and 2, so the downstream point 2 has less energy than point 1. The energy balance is retained by adding a head loss, hf(1-2). The total energy balance is written as:

eqn (2-21)

The upper sloping line drawn between the total head elevations is the energy gradeline, egl. The next lower sloping solid line for both the pipe and open channel cases shown on figure 2-3 is the hydraulic grade line, hgl, which is also the water surface for open channel flow, or the height to which water would rise in piezometer taps for pipe flow.

A special energy form is commonly used in hydraulics in which the channel invert is selected as the reference Z elevation (figure 2-3c). Thus, Z drops out, and energy is the sum of depth, h, and velocity head only. Energy above the invert expressed this way is called specific energy, E. This simplified form of energy equation is written as:

eqn (2-22)

Equations 2-21 and 2-11 lead to several interesting conclusions. In a fairly short pipe that has little or insignificant friction loss, total energy at one point is essentially equal to the total energy at another point. If the size of the pipeline decreases from the first point to the second, the velocity of flow must increase from the first point to the second. This increase occurs because with steady flow, the quantity of flow passing any point in the completely filled pipeline remains the same. From the continuity equation (equation 2-11), when the flow area decreases, the flow velocity must increase.

The second interesting point is that when the velocity increases in the smaller section of the pipeline, the pressure head, h, decreases. At first, this decrease may seem strange, but equation 2-21 shows that when V2/2g increases, h must decrease proportionately because the total energy from one point to another in the system remains constant, neglecting friction loss. The fact that the pressure does decrease when the velocity in a given system increases is the basis for tube-type flow measuring devices.

In open channel flow where the flow accelerates, more of its supply of energy becomes velocity head, and depth must decrease. On the other hand, when the flow slows down, the depth must increase.

An example of accelerating flow with corresponding decreasing depth is found at the approach to weirs. The drop in the water surface is called drawdown. Another example occurs at the entrance to inverted siphons or conduits where the flow accelerates as it passes from the canal, through a contracting transition, and into the siphon barrel. An example of decelerating flow with a rising water surface is found at the outlet of an inverted siphon, where the water loses velocity as it expands in a transition back into canal flow.

Flumes are excellent examples of measuring devices that take advantage of the fact that changes in depth occur with changes in velocity. When water enters a flume, it accelerates in a converging section. The acceleration of the flow causes the water surface to drop a significant amount. This change in depth is directly related to the rate of flow.